Because of their compact size, higher efficiency, and superior performance in high-power applications, SiC MOSFETs are now replacing Si devices in switching applications. SiC devices enable faster switching times, significantly reducing switching losses. These advantages stem from the unique electrical and material properties of SiC-based devices — snappy reverse recovery inherent to the structure of the MOSFET body diode, which tempers SiC MOSFET benefits. During a snappy reverse recovery event, devices can experience large voltage spikes, posing risks to both the device and the overall system. Additional design challenges include increased electromagnetic interference (EMI) and unintended faults, such as false gate events or parasitic turn-on [3] [4]. Fortunately, you can mitigate these effects, which optimizes system performance.
Reverse recovery at the system Level:
A SiC MOSFET integrated with a soft-body diode increases a converter circuit’s operating frequency and efficiency while decreasing the number of components.
Figure 1 shows a full bridge topology of a single-phase two-level converter and a pulse pattern that will cause a reverse recovery event. At t0, all switches start in the off state. S1 and S4 are initially turned on during t1, letting the current pass through the load. During t2, S4 returns to the off-state. The current must then change to the freewheeling path, which utilizes the body diode in S2. This time is known as dead time, and the current will decay due to the path resistance. During the transition period between t2 and t3, S4 turns back on, causing a shoot-through scenario that forces the body diode of S2 to undergo reverse recovery. After the recovery instant, the parasitic inductance in the current path results in a voltage overshoot to maintain the current in the path.

Reverse recovery and softness factor
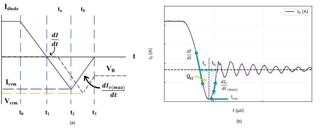
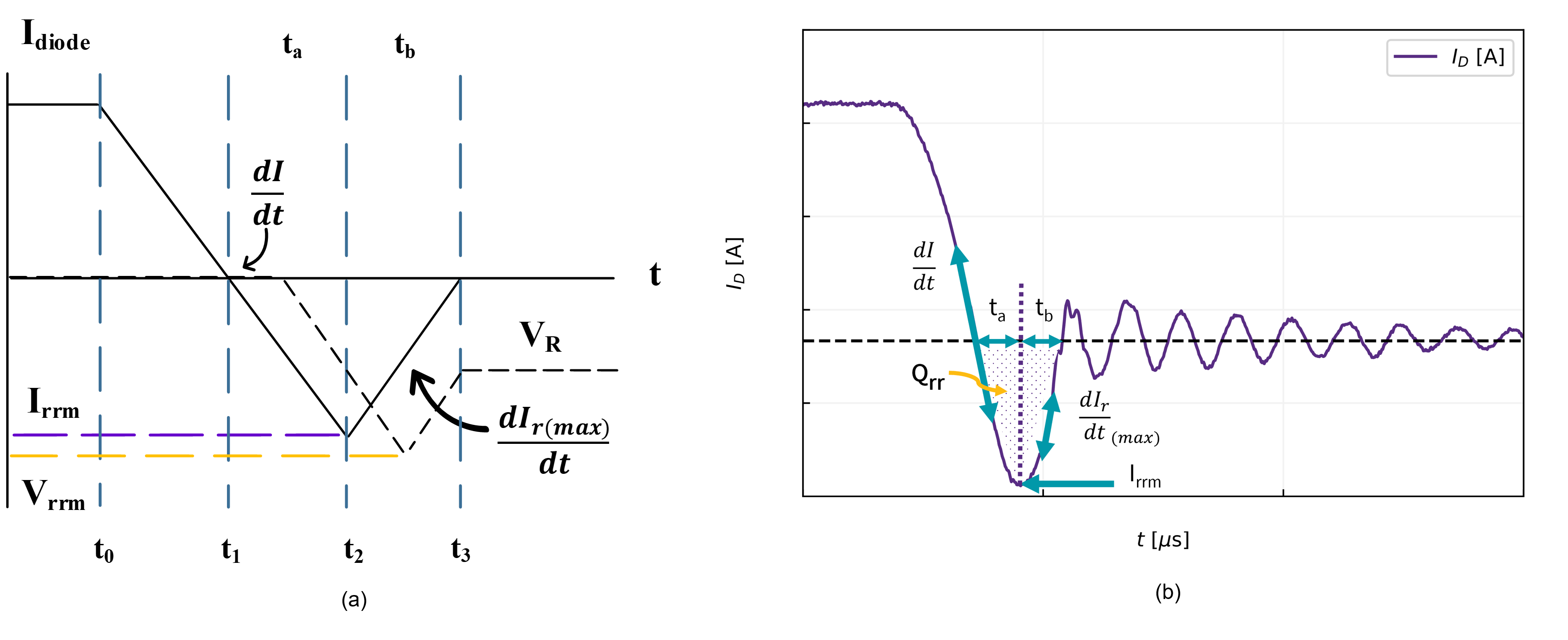
A snappy or reverse recovery occurs when a SiC diode transitions from “forward-conduction” to an “off-state.” To simplify the reverse recovery event, Figure 2 shows a diode’s ideal recovery current and voltage waveform (Fig. 2a) and a non-ideal current waveform for a MOSFET (Fig. 2b).

Fig. 2a shows two regions of time based on Idiode. From t0 to t1, the reverse voltage VR (dashed line) application forces the current to drop at a constant rate, dI/dt. During this period, the rate at which dI/dt changes is determined mainly by the applied VR, circuit elements such as the complementary device’s external RG, and parasitic circuit inductance. At the start of t1, excess carriers are removed from the drift region, and a depletion region begins to form, which builds the voltage across the diode. The voltage reaches its target value VR when Irrm is met at t2, and there is no additional bias from the voltage source VR that increases the current magnitude further. From t2 to t3, the voltage overshoots its target value as the parasitic inductance opposes the decreasing loop current, eventually settling at VR. The voltage overshoot peak depends on the circuit’s parasitic inductance and rate of change of recovery current dIr/dt(max).
Typically, we use two formulas to evaluate the softness factor of a recovery event. Below is S1, a single-parameter ratio:
where ta = t2– t1 and tb = t3 – t2.
When S1 = 1, the time it takes for the current to reach Irrm equals the time it takes to return to 0 A or leakage values.
A second method of measuring the softness of a reverse recovery event is defined in the equation below:
Where: dI/dt is the current at the initial zero-crossing of the commuting current, and dIr/dt(max) is the max return current during tb.
When S2 = 1, the current flow rate into and out of the body diode is equivalent. Most devices never achieve an ideal S1 and S2 value. A snappy recovery will occur when S1 and S2 are less than 1, while a value greater than 1 is considered a soft recovery.
Figure 3 shows a half-bridge test circuit used to perform reverse recovery characterization. Like the pulse pattern described in Figure 1, the high-side device will initially switch on and off to allow a controlled amount of current to conduct through the body diode of the low-side MOSFET. The high-side device then turns back on, forcing the freewheeling current to commutate, overshoot, and eventually settle, completing the reverse recovery event. Test boards and other external circuitry should limit the influence on body diode characterization. Do your best to minimize the test board’s stray inductance in accordance with good PCB layout practice and ensure that the external circuitry is not limiting the switching capabilities of the MOSFET. Minimizing the area of the power and gate loops will reduce inductance and achieve greater switching control.

Managing reverse recovery and EMI
Temperature dependence is the major factor for VDS overshoot and peak IDS values during the reverse recovery event. Tests performed at high temperatures will provide “worst-case scenario” results. The free-wheeling current through the body diode slowly dissipates over time as heat. This heat causes a temperature change in the junction, decreasing the conductive path’s resistance and thus increasing the initial dI/dt.
Figure 4a shows the temperature dependence of the reverse recovery current. The test parameters include an RG(ext) = 5 Ω, VDS = 800 V, and ID = 40 A. Increasing external gate resistance is recommended to achieve softer recovery characteristics such as reduced Qrr, Irrm, and dampened ringing. Improvements in reverse recovery obtained from increasing RG(ext) are shown in Figure 4b). Higher gate resistance reduces the risk of snappy reverse recovery and can increase switching losses due to increased trr if overly dampened. Figure 4b) shows the reverse recovery current plotted versus time for various external RG values. The reduced ringing effect in the current waveform will reduce unwanted EMI.

Table 1 demonstrates that increasing RG will decrease dI/dt and Qrr and dampen the initial oscillatory peak current level. In contrast, increasing RG also increases trr, creating a tradeoff between overshoot and switching times. Always visually inspect the waveform after measuring it.

Impact of reverse recovery on voltage and energy
You must also consider reverse recovery effects on voltage to ensure a power circuit won’t exceed the device’s safe operating area (SOA). Parasitic inductance in the commutating current path causes an overshoot in the voltage waveform. If ignored, you will violate SOAs and reduce the system efficiency and lifetime of the semiconductor device.
Figure 5a shows the ISD recovery waveform of the low-side device as a function of time at T = 125°C and VDS = 800 V. Figure 5b shows the VDS recovery waveform as a function of time and Figure 5c shows the peak VDS value as a function of external gate resistance. The devices tested are in a half-bridge configuration with 4 dies in parallel per switch position. As expected, the VDS peak decreases as RG(ext) increases. An RG(ext) >3 Ω is required to remain within the device’s SOA.

Conclusion
The circuits shown help you mitigate overshoot voltage and unwanted EMI during the reverse recovery of a SiC MOSFET body diode. Reverse recovery is an inherent occurrence in MOSFET body diodes, and negative effects are amplified by increased junction temperature. Board or module circuit parasitics create oscillatory voltage spikes that can break device SOA limitations. You should accurately characterize the softness factor of a MOSFET body diode to understand the benefits gained from mitigation techniques fully. Increasing external gate resistance is the most common method for softening recovery characteristics and managing VDS overshoot.
References
1993. J. B. Mohit Bhatnagar, “Comparison of 6H-SiC, 3C-SiC, and Si for Power Devices,” IEEE Transactions on Electronic Devices, vol. 40, no. 3, pp. 645-655, 1993.Singh R., S. Ryu, J.W. Palmour, A.R. Hefner. J. Lai, “1500 V, 4 Amp 4H-Sic JBS Diodes,” in International Symposium on Power Semiconductor Devices, Toulouse, 2000.
Romero, A., “Capacitance Ratio and Parasitic Turn-on,” Wolfspeed Inc., Durham, 2023.
Yuan, X., S. Walder and N. Oswald, “EMI Generation Characteristics of SiC and Si Diodes: Influence of Reverse-Recovery Characteristics,” IEEE Transactions of Power Electronics, vol. 30, no. 3, pp. 1131-1136, 2015.
Leave a Reply